layered-cache v4.0.2
layered-cache
The manager to handle hierarchical cache layers.
Usage
import LRU from 'lru-cache'
import LCache from 'layered-cache'
const cache = new LCache([
// LRU cache
new LRU({max: 100}),
// databases
{
set: (key, value) => save_to_db(key, value),
get: async key => await get_from_db(key)
},
// remote servers
{
get: key => fetch_from_remote(key)
}
])
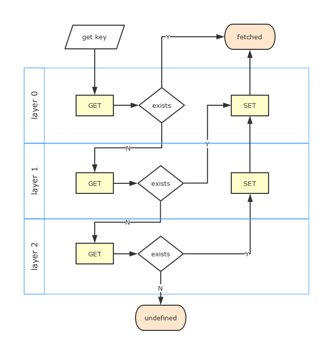
cache.get('foo') // 'bar'For the example above, at first, there was no cache for 'foo' either in LRU cache(layer 0), or in databases(layer 1). And LCache tries to fetch the value of 'foo' from remote server, and gets the value of 'bar'.
Then, LCache saves {foo: 'value'} to both layer 0 and layer 1.
If we try to get the value of 'foo' again, it will hit on layer 0. And after a long time, if the value of 'foo' have been erased by LRU cache, LCache will the the value from databases(layer 1).
To make the cache simple enough, ALL VALUES that equal to undefined or null are treated as NOT FOUND in the cache or cache layers. You could specify the behavior via options.isNotFound.

class LCache(layers, options)
- layers
Array<LCache.InterfaceLayer|LCache.Layer>list of cache layers. A layer must implement the interface ofLCache.InterfaceLayer. In the other words, a layer should have the following structures, but there is no restriction about which type the layer is. A layer could be a singleton(object), or a class instance(with properties from its prototype). - options
Object=- isNotFound
function(value): Booleanto determine whether a value is not found.
- isNotFound
interface LCache.InterfaceLayer
- get
?function(key: any): anymethod to get the cache, either synchronous or asynchronous(function that returnsPromiseor async function).- key
anythe key to retrieve the cached value could be of any type whichlayered-cachenever concerns.
- key
- mget
?function(...keys): Array<any>an optional method to get multiple data by keys - set
?function(key, value: any)method to set the cache value, either sync or async. The method could be optional only for the last layer. - mset
?function(pairs: Array<[key: any, value: any]>)an optional method to set multiple values by keys. - has
?function(key) : Booleanan optional method to detect if a key is already in the cache, either sync or async. - mhas
?function(...keys) : Array<Boolean>an optional method to detect the existence of multiple keys, either sync or async. - validate
?function(key, value) : Booleanan optional method to validate the value and determine whether a value from a low-level cache should be saved. - mvalidate
?function(pairs: Array<[key: any, value: any]>) : Array<Boolean>an optional method to validate multiple key-value pairs and determine whether a value from a low-level cache should be saved.
At least one of get or mget must be specified, or it will throw an error.
cache.get(key)
- key
anythe layered cache could accept arbitrary type ofkey
Gets a value by key, and returns Promise<any> the retrieved value.
Take lru-cache for example, which by default does not support arbitrary type of key, but we can use this simple trick:
import _LRU from 'lru-cache'
class LRU {
constructor () {
this._cache = new _LRU({
max: 10000
})
}
get (key) {
return this._cache.get(JSON.stringify(key))
}
set (key, value) {
return this._cache.set(JSON.stringify(key), value)
}
}cache.mget(...keys)
- keys
Array
Gets an group of values by keys, and returns Promise<Array>
cache.set(key, value)
Sets key-value to all writable cache layers.
Returns Promise
cache.mset(...pairs)
- pairs
Array<[key, value]>
Sets multiple key-value pairs.
Returns Promise
await cache.mset(['foo', 'bar'], ['baz', 'quux'])cache.sync(key)
Synchronize the value of key from the most underlying layer up to the upper layers.
Returns the same data type as cache.get(key)
cache.msync(...keys)
Synchronize the value of each key from the most underlying layer up to the upper layers.
Returns the same data type as cache.mget(...keys)
cache.depth()
Returns number the depth of the cache layers.
cache.layer(n)
- n
numberthe index of the layer. Thenstarts with0, from high level to low level, which means the layer index of the highest level is0
Returns LCache.Layer
console.log(await cache.layer(0).get('foo'))class LCache.Layer(layer: LCache.InterfaceLayer)
The wrapper class to wrap the cache layer, and always and only provides FOUR asynchronous methods, get, mget, set and mset.
import {
Layer
} from 'layered-cache'
import delay from 'delay'
const store = {}
const layer = new Layer({
get (x) {
return delay(100).then(() => x + 1)
},
set (key, value) {
store[key] = value
},
has (key) {
return key in store
}
})
layer.get(1).then(console.log)
// prints: on data 2
// prints: 2License
MIT